「科普」氢的史诗:巴尔末公式
「科普」氢的史诗:巴尔末公式
【能源人都在看,点击右上角加'关注'】

17世纪,阳光明媚的一天,牛顿利用一块玻璃棱镜,将可见光分成了七彩光束:红橙黄绿蓝靛紫,从红光到紫光,波长依次变短。可以说正是此时,人类第一次真正触及到了物质的原子本质。不过当时的牛顿并没有意识到,这些可见光其实只是太阳辐射的一小部分。1800年,大天文学家威廉-赫歇尔通过一个温度计,测定了不同颜色的光的热效应,结果他发现,温度计从紫光从向红光移动时,温度会上升,更有意思的是,当温度计移出红光,到达红光之外的黑色区域时,温度竟然还在上升,从这个现象出发,赫歇尔推断,一定存在着某些不可见的光,这便是我们目前所谓的“红外光谱”。没过多久,1801年,德国物理学家约翰-威廉-里特发现,在紫光之外似乎也存在着看不见的光,它可以使得溴化银底片发生感光,这种光便是可见光谱另一端之外的紫外线。

牛顿分解了太阳光

里特
由于赫歇尔与里特有了这样惊人的发现,于是,从19世纪初开始,科学家们纷纷对玻璃棱镜玩起了各种花活儿。其中特别值得一提的,是英国物理学家威廉-沃拉斯顿的重大发现。在此之前,科学家们其实都在重复牛顿的操作,也就是让阳光通过遮光板上的一个小圆洞,但沃拉斯顿也不知道是怎么想的,他不要洞了,而是换成了遮光板上的一条狭缝,让光通过狭缝之后再射入棱镜。就这么一个微小的改变,神奇的一幕便发生了,那就是沃拉斯顿在阳光的可见光谱中,发现了几个黑色的狭缝,沃拉斯顿推断,这些狭缝正代表着阳光中某些缺失的波长,从此,这些暗纹便被称为“谱线”。

沃拉斯顿
沃拉斯顿的发现很快引起了其他科学家的注意,在对实验进行了进一步的改进之后,德国物理学家约瑟夫-夫琅禾费在太阳光谱中发现了574条暗纹,并对其依次命名与标记位置。其中特别让夫琅禾费感兴趣的,是两条他所谓的D暗纹。因为在实验室中的钠灯光谱上,存在两条位置相同的亮纹。那么这一明一暗之间有什么关联吗?可惜的是,夫琅禾费只对其进行了记录,却并没有深入研究。在此之后,夫琅禾费又研究了行星与其他恒星的光,他发现行星谱线的模式,与太阳谱线的模式基本相似,而至于其他恒星,它们与太阳之间,既存在一致性,也存在着差异性。

夫琅禾费

太阳光谱
可以说在当时,科学家们对任何光都充满了兴趣,1822年,英国物理学家大卫-布儒斯特发明了一个小仪器,这个仪器可以用火焰将物质的一小部分蒸发,然后,人们就可以研究蒸发的物质所发出的光。在这一新发明的推动下,同一年,约翰-赫歇尔蒸发了各种金属盐,由此证明,火焰的光可以用来检测这些金属极微量的存在,这就是所谓的焰色反应。几年之后,在这些新发现的基础上,英国化学家威廉-塔尔博特终于证明,每种化学元素的谱线都是独一无二的,也就是说,我们可以通过光谱来鉴定元素。

布儒斯特

焰色反应

塔尔博特
当然了到此为止,夫琅禾费的发现,还依然没有得到有力的解释。对此作出突破的是法国物理学家傅科,也就是傅科摆那哥们。1849年,傅科让阳光通过钠蒸汽,结果发现,太阳光谱中的那两个D线变得更暗了,虽然傅科也没有什么建设性的想法,但这一实验结果,却让大神开尔文勋爵灵光一现。开尔文勋爵立即犀利地说出了一句废话:双D线无论明暗,都是因为钠的缘故。夫琅禾费在太阳和其他恒星光谱中,所观察到的暗的双D纹,正是因为太阳和那些恒星四周的大气中,存在着钠元素的缘故。

傅科
这句话虽然有点像是废话,但却被认为是现代天体物理学的开端,为什么如此呢?对开尔文勋爵的废话给出进一步解释的,是德国物理学家、光谱学的创始人古斯塔夫-基尔霍夫。在大量的实验与思索之后,基尔霍夫指出,在相同的物理条件下,某种元素所发出的光与其所吸收的光,会产生相同波长的谱线。也就是说,钠灯中的钠元素所发出的光,产生了夫琅禾费发现的那两条亮线,同样的,也是因为太阳周围的钠元素,在太阳光谱中产生了暗的双D纹,二者的位置之所以一样,正是因为钠元素不论是发出光还是吸收光,它所针对的都是同样波长的光。

基尔霍夫
故事说到这里,各路大神已经纷纷登场了,唯独今天的主人公巴尔末没有亮相,那么以上关于光谱学的内容,与巴尔末到底有什么关系呢?没有关系,纯粹是为了凑合时间。如果说有那么一点点关系的话,那么巴尔末研究的正是氢的谱线。而且有意思的是,巴尔末研究的其实也并不是氢的谱线,而是一个纯粹的数学问题,为什么这么说呢?因为巴尔末并非物理学家,事实上我们可以说,他对什么氢、什么太阳光谱,基本上一窍不通。而现在人们给他的头衔,也只有一个数学家。更加匪夷所思的是,这哥们连个数学家其实也算不上,他只是瑞士巴塞尔一所女子中学的普普通通的老师,对数学那些高深的理论,也是不明所以。那么就这么一个和我们没什么区别的人,一个水平甚至赶不上黄博士的人,为什么就能成为今天的主角呢?别着急,你听我给你讲个故事。

巴尔末
由于光谱学的出现与发展,人们开始纷纷研究各种元素的光谱,氢这种元素,自然是第一批被研究的对象。对此作出突出贡献的,是瑞典物理学家埃斯特朗。埃斯特朗发现,在氢的可见光谱中,存在着四条暗线,而这四条暗线所对应的波长分别为656.21nm、486.074nm、434.01nm和410.12nm。值得一提的是,埃斯特朗本身也是一个长度单位,1埃斯特朗等于10纳米。

埃斯特朗
氢原子光谱
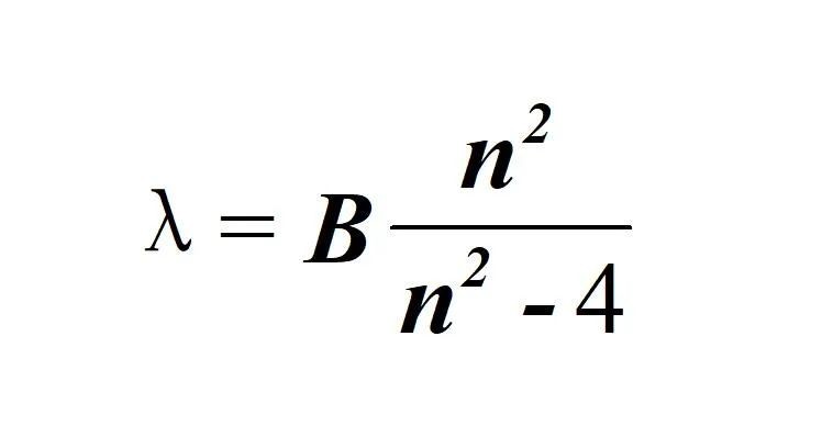
现在问题就来了,氢的可见光谱中,这四条暗线所对应的波长之间,是否存在某种联系呢?许多科学家认为,这些数字的背后一定对应着某种未知的物理规律,但没有人可以得出结论。于是巴尔末决定,管他的背后有什么物理规律,先把这四个数字之间的数学规律给研究出来。可能是上班也确实没啥事儿,巴尔末就天天在那算。天知道巴尔末到底尝试了多少个公式,但最后他还真就搞出来了。1885年,巴尔末提出,氢的可见光谱中的四条波长,可以用一个公式表达出来,这个公式为λ等于常数B乘以n的平方除以(n方-4)。这个常数B是多少不重要,我也记不住,总之就是,当n=3,4,5,6时,就分别对应以上四个数字。

巴尔末公式
当时人们毕竟只发现了这4条谱线,那么当n=7的时候,巴尔末公式是否还灵验呢?把n=7带入公式中,结果是396.965nm,巴尔末不知道的是,其实埃斯特朗已经测出了这条谱线的存在,可能是由于比较模糊,所以他并没有对外公布,而这条谱线实际对应的波长为396.81nm,巴尔末公式依然精准无比。在此之后,氢的更多谱线被发现,结果也都与巴尔末公式所计算的结果惊人的接近,误差不超过1/4000。巴尔末就这样达成了这一伟大的成就。
显而易见的是,巴尔末是幸运的,因为他选择研究的对象正是氢元素,可以想见,如果巴尔末脑子一热选择了碳元素或是氮元素,面对这些元素复杂的谱线,巴尔末就算辛辛苦苦干个94年,可能也不会有什么结果。所以我们可以说,在人类文明的发展史上,氢又一次扮演了重要角色。
当然了,仅仅有数学公式,还并不能说明人们已经发现了原子世界背后的规律,但无论如何,正是巴尔末告诉世人,你们看到没,氢的谱线可以用数学公式表达,这就足以说明,物质世界有着我们尚未发现的美妙规律,至于究竟是什么规律,导致了这一现象的发生,那就得另请高明了。而在发现了这一伟大的规律之后,巴尔末还是继续回到了课堂之上,教学生们学习数学,或许,他和他的学生们根本不会想到,正是这样一个纯粹的数学公式,在日后的物理学界,掀起来轩然大波,因为另请高明的高明就要登场了,请看下集《氢的史诗:原子模型》。
免责声明:以上内容转载自OFweek氢能,所发内容不代表本平台立场。
全国能源信息平台联系电话:010-65367702,邮箱:hz@people-energy.com.cn,地址:北京市朝阳区金台西路2号人民日报社
-
- 你不知道的佛教菩萨:三十三观音 名副其实的‘有求必应’ (上)
-
2026-01-08 01:35:47
-
- 潮汕第一富豪诞生了,手握数百亿现金,手里还有几千亿腾讯股票
-
2026-01-08 01:33:33
-
- 约起!来光明迎春花市逛花街!
-
2026-01-08 01:31:19
-
- 四个步骤向宇宙下订单
-
2026-01-08 01:29:04
-
- 郁达夫前妻王映霞:活到2000年才去世,再婚后育有1儿1女很幸福
-
2026-01-07 07:23:10
-
- 北京灵山自然风景区,海拔2303米,是北京市的第一高峰
-
2026-01-07 07:20:56
-
- 北大才子、原华为总裁助理魏延政的人生最后岁月
-
2026-01-07 07:18:41
-
- 注意!这6种拆违行为必违法,不起诉你可亏大了
-
2026-01-07 07:16:27
-
- 杀疯了的「三亚平替」,挤满东北人
-
2026-01-07 07:14:13
-
- 宁波老外滩的前世今生,家门口的风景其实很美,何必去远方寻美景
-
2026-01-07 07:11:59
-
- 三鹿董事长田文华:三次减刑即将出狱,30万被毒害的婴儿现状如何
-
2026-01-07 07:09:44
-
- 韩先楚为何没当志愿军司令,彭老总不信任吗?两大因素决定
-
2026-01-07 07:07:30
-
- 「国际」收藏!番茄种品种推介大汇总
-
2026-01-07 07:05:16
-
- 话说七十年
-
2026-01-07 07:03:01
-
- 达摩院、华为研究所,谁是中国的“贝尔实验室”?
-
2026-01-06 08:30:43
-
- 越老越帅的男星我只服这10位,不整容,不油腻,连褶子都魅力十足
-
2026-01-06 08:28:29
-
- 史沫特莱:临终遗言要将财产全部留给朱德,骨灰安葬在八宝山公墓
-
2026-01-06 08:26:15
-
- 那个将日美当靠山,停飞我国航班、拒绝我国游客的小国,后来怎样
-
2026-01-06 08:24:00
-
- 宠物猫品种大全(一)
-
2026-01-06 08:21:46
-
- 孟庭丽:拍戏26年身亡,上亿资产被亲属榨干,去世前捐器官救8人
-
2026-01-06 08:19:32



80年代,蔡明和丈夫丁秋星以及儿子的合影
陈震的爸爸是谁,陈震的二环十三郎事件是怎么回事