2018河北高考一分一档表出炉!快收藏
2018河北高考一分一档表出炉!快收藏
点击上方“河北经济日报”加关注
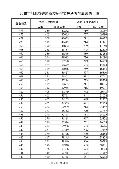
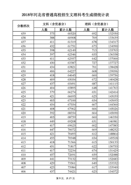
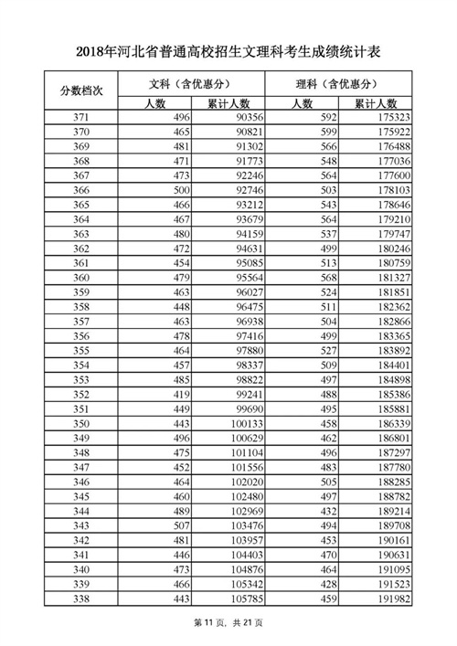
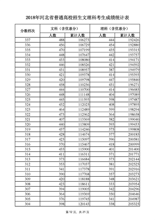
23日0点,河北高考成绩可以查询了!相信考生现在都已经知道自己的分数了!全省考生们考的如何?一分一档表新鲜出炉!快来看看吧 !
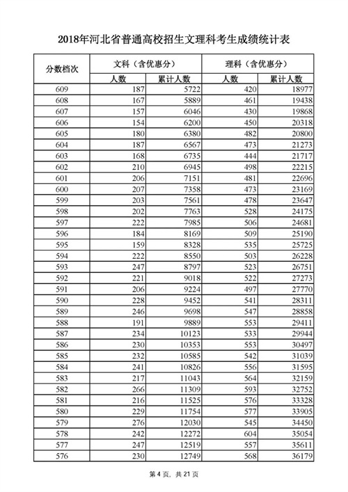
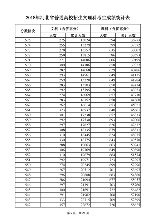
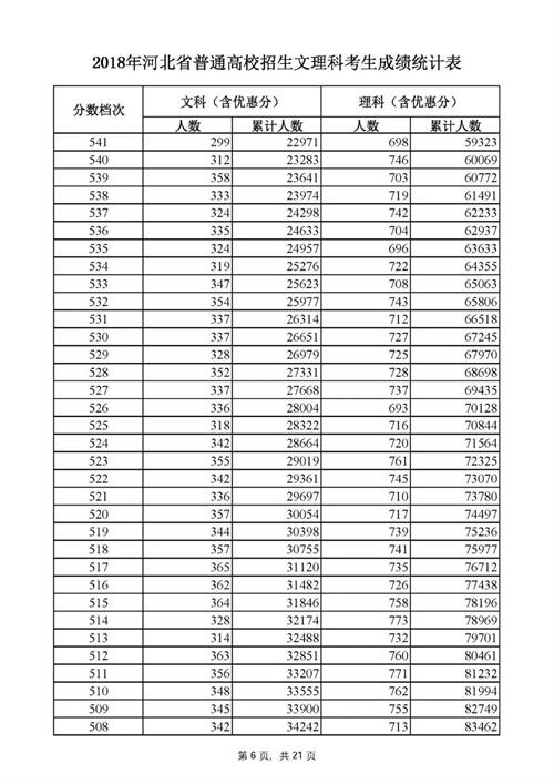
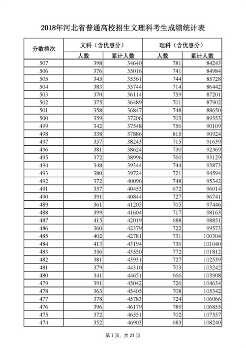
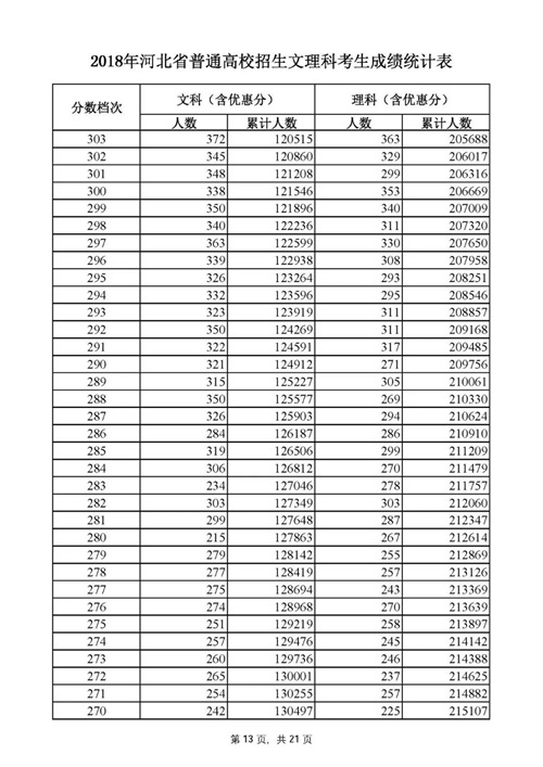
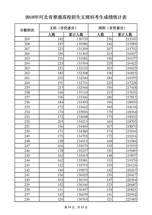
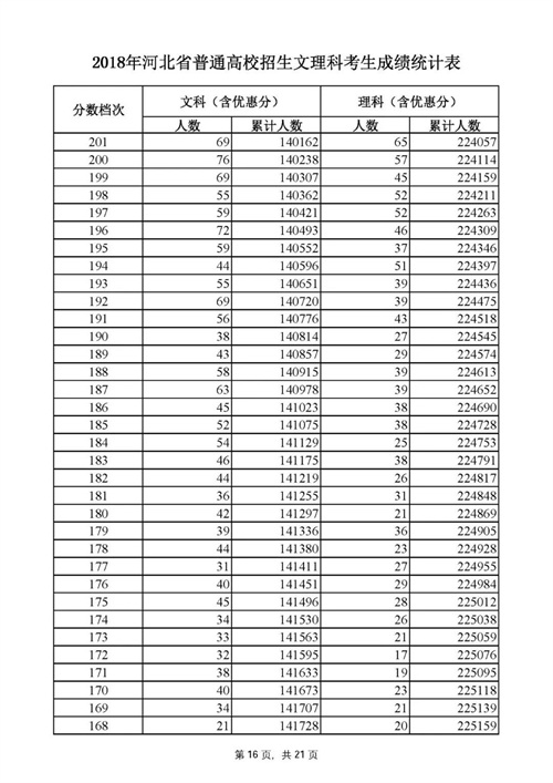
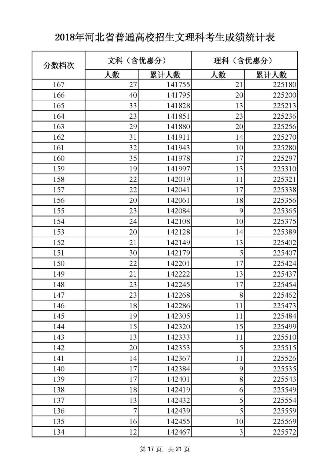
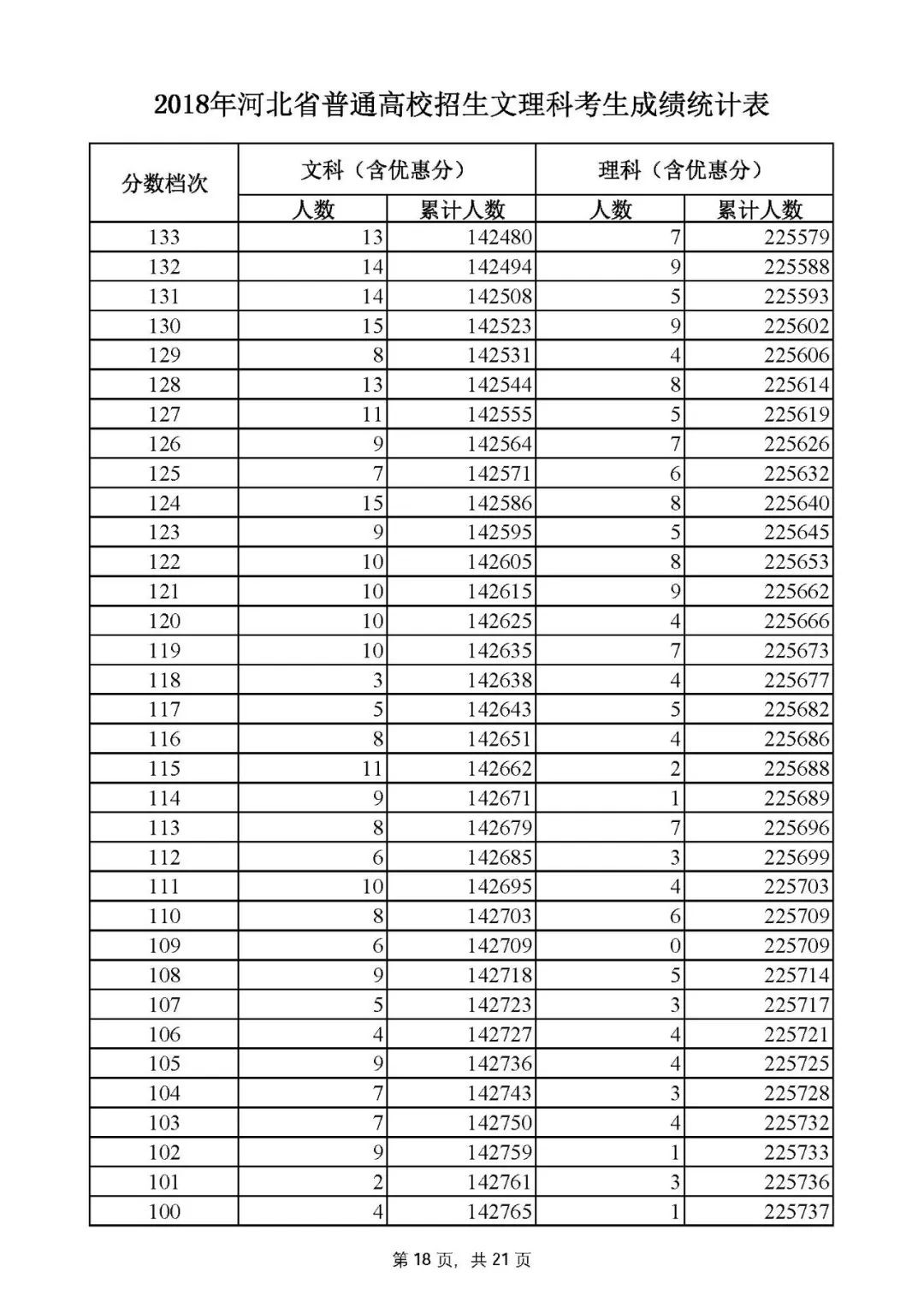
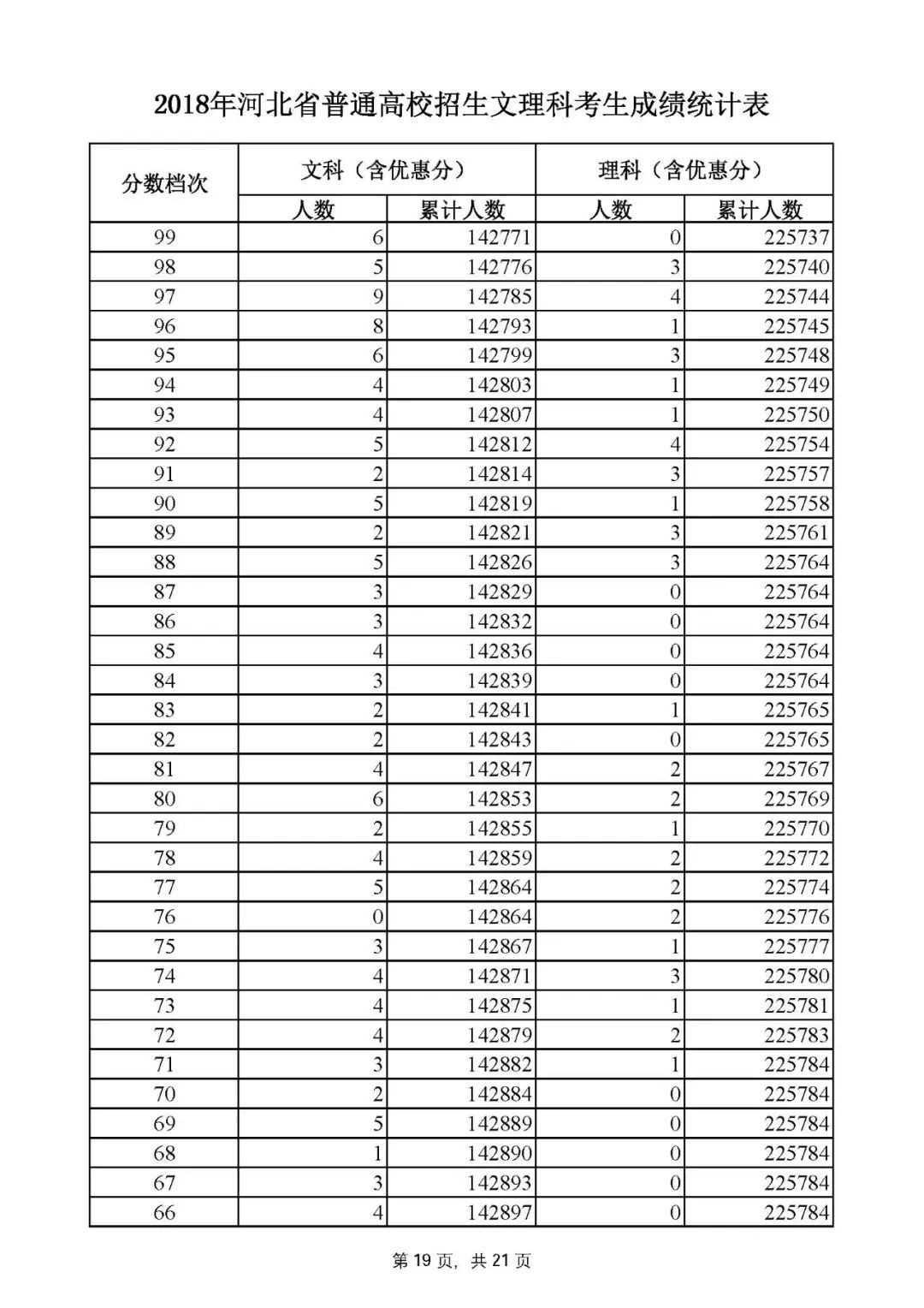
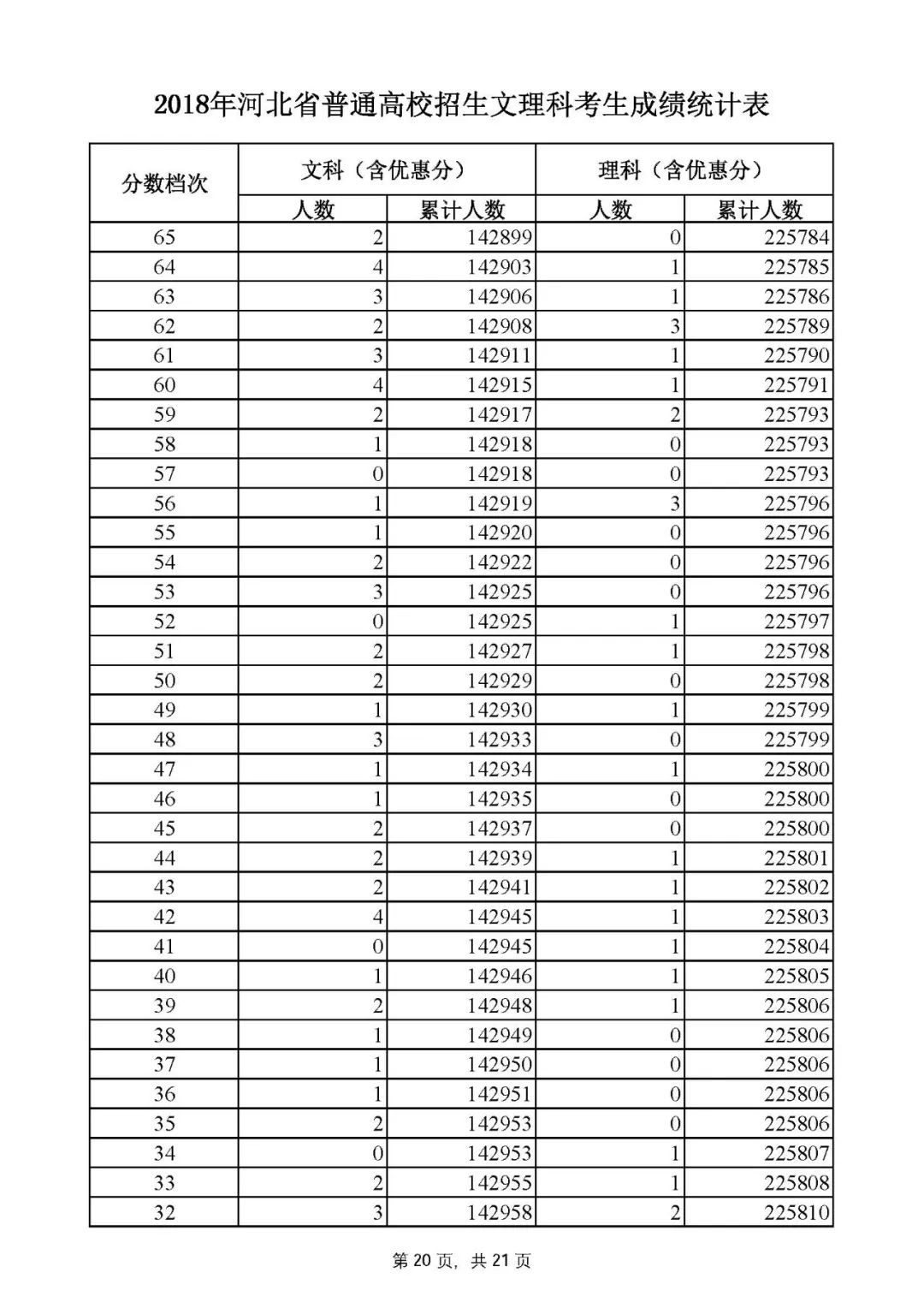
2018年河北普通高校招生文理科
一分一档表
(点击看大图更清楚哦)





















高考录取分数线
从河北省教育考试院获悉,经河北省招生委员会全体会议研究,确定了今年河北省普通高校招生各批各类录取控制分数线。其中,文史类本科一批为559分;理工类本科一批为511分。
各批各类录取控制分数线如下:
一、文史、理工类
科类
本科一批
本科二批
专科批
文史
559
441
200
理工
511
358
200
高水平运动队考生高考文化成绩控制分数线:文史441分,理工358分;对于少数体育专项测试成绩特别突出的高水平运动队考生,文化成绩控制分数线:文史286分,理工232分。
二、艺术统考类
科类
本科提前批A、B
本科二批
(文化/专业)
专科提前批
(文化/专业)
声乐统考
266/130
140/115
器乐统考
266/115
140/110
舞蹈统考
266/120
140/100
美术统考
266/180
140/160
三、艺术校考类
⑴按教育部规定,部分独立设置的艺术院校和参照执行的院校(或专业)艺术类本科专业,文化、专业录取控制线由学校自行确定,我省统考涉及到的专业,还需要我省相应类别专业统考合格。其艺术类专科专业:我省统考涉及的,文化、专业录取控制线按我省相应统考类执行;我省统考未涉及的, 文化控制线为140分,专业控制线由院校确定。
⑵其他院校
科类
本科提前批A
(文化/专业)
本科二批
(文化/专业)
专科提前批
(文化/专业)
声乐校考
266/115
————
————
器乐校考
266/110
————
————
舞蹈校考
266/100
————
————
美术校考
266/180
————
————
统考未涉及的校考
266/—
266/—
140/—
注:以上专业分为我省相应科类专业统考合格线
四、体育类
科类
本科提前批A、B
本科二批
(文化/专业)
专科提前批
(文化/专业)
体育
文
275/275
140/240
理
210/275
140/240

为了帮助考生顺利填报志愿,减少不必要的失误,河北省教育考试院发布《2018年河北省普通高考志愿填报须知》,供考生参考。
《须知》详情请点击本文文末“阅读原文”查看。

-
- 三大危险令人防不胜防?四川黑竹沟有多可怕,为何人畜有去无回?
-
2025-12-16 06:45:28
-
- 1997,白冰冰的女儿被绑匪撕票抛尸水沟,网友愤恨:凶手是媒体
-
2025-12-16 06:43:14
-
- 袁立回家探亲被拍,52岁身材发福与大妈无异,可气质一看就不普通
-
2025-12-16 06:40:59
-
- 买酒要注意,这些被曝光的 “勾兑酒”可能是假酒,看你家有没有?
-
2025-12-14 22:27:21
-
- 赚钱快的冷门小生意
-
2025-12-14 22:25:06
-
- 人不要脸,天下无敌,唐宛儿与庄之蝶就是这样的,终不得好结果
-
2025-12-14 22:22:51
-
- 刘亦菲与宋承宪恋情“遗憾收场”!揭秘这段跨国爱情故事的真相!
-
2025-12-14 22:20:37
-
- 河北八名莽夫夜盗珍妃墓,不料棺椁里女人双眼微睁,留下世纪谜案
-
2025-12-14 22:18:22
-
- 马歇尔计划:美国的经济救助与欧洲的复兴大作战
-
2025-12-14 22:16:07
-
- 《故乡》中打秋风的“豆腐西施”杨二嫂,一个活脱脱的利己主义者
-
2025-12-14 22:13:53
-
- 季后赛实力榜:雷霆持续霸榜 绿军反超骑士升至次席
-
2025-12-14 22:11:39
-
- 搞笑纹身大合集,够你笑一年的!
-
2025-12-14 22:09:24
-
- 道家|八大神咒开经合集·全文
-
2025-12-14 22:07:10
-
- 洛桑离去的那个深夜,酒局后车祸身亡,看看网友是何评价他的?
-
2025-12-14 07:23:28
-
- 多图详解iPhone5S硬解ID锁全过程
-
2025-12-14 07:21:13
-
- 正月十五元宵节记得吃的食物,汤圆 团团圆圆,鱼年年有余
-
2025-12-14 07:18:59
-
- 苏州工业园区人才引进详细流程
-
2025-12-14 07:16:45
-
- 刷爆朋友圈的“18岁”到底是个什么梗?进来,告诉你们
-
2025-12-14 07:14:30
-
- 揭秘亚洲反赌千王“尧建云”是怎么让人搞残直到舌癌去世的
-
2025-12-14 07:12:16
-
- 区础坚:东西方油画融合的大师
-
2025-12-14 07:10:02



80年代,蔡明和丈夫丁秋星以及儿子的合影
陈震的爸爸是谁,陈震的二环十三郎事件是怎么回事